知识百科

冲击试验机

冲击试验机是一种测试材料抗冲击强度的设备,有摆锤冲击试验机、落球冲击试验机(或者落锤冲击试验机)两种,摆锤冲击试验机又分简支梁冲击试验机(Charpy法)和悬臂梁冲击试验机(Izod法)。用于测定塑料、纤维增强复合材料、增强尼龙、玻璃钢、陶瓷、铸石、塑料电器、绝缘材料等非金属材料的冲击韧性。

内容介绍 相关产品
需要帮助 获取报价

摆锤冲击试验机

冲击试验机

(点击图片可放大查看)

冲击试验机

冲击试验机是一种测试材料抗冲击强度的设备,有摆锤冲击试验机、落球冲击试验机(或者落锤冲击试验机)两种,摆锤冲击试验机又分简支梁冲击试验机(Charpy法)和悬臂梁冲击试验机(Izod法)。用于测定塑料、纤维增强复合材料、增强尼龙、玻璃钢、陶瓷、铸石、塑料电器、绝缘材料等非金属材料的冲击韧性。

随着行业的发展,摆锤冲击试验机市场使用需求不断变化,常见的有:简支梁冲击试验机、悬臂梁冲击试验机、悬简组合式冲击试验机等三种形式。摆锤式冲击试验机是化工行业、科研单位、大专院校、质量检测等部门理想的试验设备。

目前,国内测试工程塑料抗冲击强度使用较多的是简支梁法(Charpy法),而国外则大多使用悬臂梁法(Izod法)。选用抗冲击强度数据时,应注意所采用的试验方法。简支梁冲击试验所用的试样分为无缺口和有缺口两种。

WKT-J5001型简支梁冲击试验机

WKT-J5001型简支梁冲击试验机

抗冲击强度的定义

抗冲击强度可直接反映、评价或判断一种材料(或者产品)的抵抗冲击能力(脆性、韧性程度),业界比较流行用三种方法:简支梁冲击(Charpy冲击)、悬臂梁冲击(Izod冲击)和落球(或者落锤)冲击。前两种方法(简支梁和悬臂梁)主要用来判断材质本身在冲击性能方面的好差,这两者没有实质的联系,区别在于悬臂梁的冲击能量大一点,用简支梁冲不断的材料一般会选用悬臂梁冲击;落球或落锤冲击反映的是产品本身的抗冲性能(一个产品的抗冲能力由材质、厚度、结构等多种因素决定)。

简支梁、悬臂梁、落锤三种冲击由于所选用的试验条件的不同(如试样规格、跨距形式、冲击方式、冲击速度、缺口类型等),又引发出多种试验项目,如:低温冲击、高温冲击、无缺口冲击、缺口冲击、贯层冲击等等。

WKT-X8001型悬臂梁冲击试验机(全能量)

WKT-X8001型悬臂梁冲击试验机

冲击试验机的测量方法分类

测试工程塑料抗冲击强度试验的方法较多,主要有摆锤冲击试验法、落锤冲击试验法。摆锤冲击试验又分简支梁法(Charpy法)和悬臂梁法(Izod法)。国内测试工程塑料抗冲击强度使用较多的是简支梁法,而国外则大多使用悬臂梁法。选用抗冲击强度数据时,应注意所采用的试验方法。简支梁冲击试验所用的试样分为无缺口和有缺口两种。

  • (1)无缺口试样简支梁抗冲击强度:其抗冲击强度是指无缺口试样在冲击载荷作用下,破坏时所吸收的冲击能量与试样的原始横截面积之比,单位为kJ/m2

  • (2)缺口试样简支梁抗冲击强度:其抗冲击强度是指缺口试样在冲击载荷作用下,破坏时所吸收的冲击能量与试样缺口处的原始横截面积之比,单位为kJ/m2。悬臂梁冲击试验所用的试样开有缺口,以试样破断时单位宽度所消耗的能量来衡量,单位是J/m。如下表1,列出了一些工程塑料的悬臂梁缺口抗冲击强度。

表1一些工程塑料的悬臂梁缺口抗冲击强度

名称悬臂梁缺口抗冲击强度(J/m2名称悬臂梁缺口抗冲击强度(J/m2
PA656PA101040-50
PA6640ABS105-215
PA1139聚碳酸酯660-880
PA1250聚甲醛60-80
PA61056聚四氟乙烯150-180

简支梁抗冲击强度与悬臂梁抗冲击强度

简支梁冲击与悬臂梁冲击示意图

简支梁冲击与悬臂梁冲击示意图

(点击图片可放大查看)

简支梁冲击强度与悬臂梁冲击强度表示的是材料单位面积内吸收的能量,吸收的越多,就表示材料抗冲能力越好。如右图所示,是两种冲击的示意图。

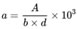
在这两种实验中,抗冲击强度可用以下式子表示: ,其中a表示简支梁或梁或悬臂梁抗冲击强度,单位:kJ/m2(千焦每平方米);A表示试样吸收的冲击量,单位J;b代表试样宽度,单位mm;d代表试样厚度,单位mm,如果是缺口冲击,厚度减去缺口后剩余厚度。

从计算公式可以知道,试验时所选择试样的规格(厚度、宽度、有无缺口等)对试验结果会有影响;更进一步探讨的话,试验时的温度、选择的冲击能量、冲击速度、跨距等等都会影响试验结果;理论上来说,所用试样的宽度、厚度越大,所吸收的冲击能量A(单位:J)越大,但是相应的b×d(冲击面积)也大(冲击面积与冲击能量的关系比较复杂,影响因素较多,不是成线性正比的关系),这样得出的冲击强度在不同厚度之间虽然有偏差,但不会很大,而且不一定是厚度厚的试样冲击强度就高(冲击强度只是反映材质本身,判断材料某一个厚度的抗冲能力,可以比较其所吸收的冲击能量A的大小)。

WKT-XJ8001型触摸屏悬简组合式冲击试验机

WKT-XJ8001型触摸屏悬简组合式冲击试验机

同时,对于刚性材料来说,在某一程度的厚度及支撑跨距下,存在结构弹性,对冲击试验结果影响比较大,因此国标也作出规定:厚度小于3mm的试样一般不做简支梁或悬臂梁冲击试验,厚度上限一般不超过10mm;试验推荐采用4mm的厚度。对试验的冲击速度、跨距、厚度等也没有很明确的规定,只是提供方案推荐。

综上,比较材料(简支梁和悬臂梁)的抗冲性能,只有在相同时间段、相同试样厚度,选择相同的试验条件(跨距、冲击速度、同样的缺口类型等)下,才能进行。而且由于材料抵抗冲击能量的影响因素很复杂,简支梁或悬臂梁反映的抗冲能力只是一个片面,所以简支梁或悬臂梁多作为辅助参考,判断材料抗冲性能一般需要结合多种检测项目(断裂伸长率、弹性模量、冲击强度等等)综合判定。如:某些芯层发泡的材料,做简支梁或悬臂梁冲击,数据极低,但做落球冲击时数据并不比相类的材料的差。


落球或落锤式抗冲击试验

落球冲击和落锤冲击反映的是产品本身的抗冲性能(一个产品的抗冲能力由材质、厚度、形状结构等多种因素决定)。将样品放在一定形状的一定尺寸的支撑跨距上,用一特定形状和重量的球(或锤),从一定的高度自由落下对样品进行冲击,通过改变球(或锤)的重量或落下高度,和一定数量的样品,多次试验,从而定性判断或定量得出样品被破坏所需的能量。

国标规定一般推荐样品支撑跨度选择直径75mm的圆形跨距;一些行标、地标等也有根据产品的实际使用情况选择一些其他要求的跨距,如50×500mm的方形支撑跨距等。一般来说跨距也小,相同球重和高度下受到的冲击力越大,样品也越容易被破坏。落球(锤)冲击强度一般采用在某一试验条件下,材料是否被破坏,或破坏的数量来定性判断;也可以采用样品被破坏时的落球(锤)的重力势能来定量判断。试验及计算方法可参照标准进行。

落球和落锤的区别在于球和锤的形状,球截面是圆形的,锤截面是圆头方形的。落球(锤)冲击强度同样受到所选择的支撑跨距、样品厚度、样品形状的影响。在相同的跨距、相同的材质下,通常厚度厚的样品落球(锤)冲击强度高;相同的跨距、相同的材质、相同厚度下,通常落球(锤)冲击点是平面结构的样品比异型结构的样品较易被破坏(与受力时力的分解有关,由于力的分解,异形样品受力截面上所受的力小了)。

缺口试样和无缺口试样的冲击实验的不同

形状相同的同种材料,样条无缺口试样的冲击强度比缺口试样大。采用带缺口试样的目的是使缺口处试样的截面积大为减小,受冲击时,试样断裂一定发生在这一薄弱处,所有的冲击能量都能在这局部的地方被吸收,称为应力集中,从而提高试验的准确性。

相关产品

WKT-XJ8001型触摸屏悬简组合式冲击试验机 WKT-XJ8001型触摸屏悬简组合式冲击试验机
WKT-X8001型悬臂梁冲击试验机(全能量) WKT-X8001型悬臂梁冲击试验机(全能量)
WKT-J8001型简支梁冲击试验机(全能量) WKT-J8001型简支梁冲击试验机(全能量)
WKT-XJ6001型触摸屏悬简组合式冲击试验机 WKT-XJ6001型触摸屏悬简组合式冲击试验机
WKT-XJ5001型悬简组合式冲击试验机 WKT-XJ5001型悬简组合式冲击试验机
WKT-X5001型触摸屏悬臂梁冲击试验机 WKT-X5001型触摸屏悬臂梁冲击试验机
WKT-J5001型简支梁冲击试验机 WKT-J5001型简支梁冲击试验机
WKT-J6001型触摸屏简支梁冲击试验机 WKT-J6001型触摸屏简支梁冲击试验机

您近期浏览过的产品

联系我们
关注我们

Copyright © 凯时游戏娱乐官网 版权所有 | 网站地图 | 技术支持 :维科美拓运营中心  

400-0523-770
[email protected]